рус  /  eng




О компании
Новости
Продукция
Достижения
Контакты

Promo FOTO banner

Продукция
 GRAND REZERVE  NATIVO
 МЕДОВЫЙ ВИНОГРАД  DON DEMIAN
 MONSARD  ЛЮБИМАЯ
 BEST WINE  GLAMOUR
 КРАМА  ФОЛКЛОР
 МЕТОДА ТРАДИЦИОНАЛ  SICILIA
 ВОЛНА  КАРАТ
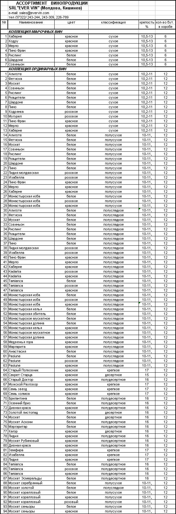
>>> АССОРТИМЕНТ ВИНОПРОДУКЦИИ  new BAG-IN-BOX


КАБЕРНЕТ Новый
КАБЕРНЕТ
Цвет: Красное
Сорт винограда: Кабернет
Тип: Полусладкое
CABERNET 2003 Новый
CABERNET 2003
Цвет: Красное
Сорт винограда: Кабернет
Тип: Сухое марочное
МУСКАТ Новый
МУСКАТ
Цвет: Белое
Сорт: Мукат
Тип: полусладкое
 
 
Evervin Logo
Сайт разработан в компании Интeрнет-Молдова